Nicht nur als Lehrer, sondern auch als Ingenieur benötigt man häufig mathematische Formeln, beispielsweise mit Variablen und Funktionen. Mit normalem Text lässt sich eine Formel jedoch nur schwer darstellen. Denn manchmal müssen Werte übereinander, manchmal in große oder in kleine Klammern gesetzt werden. Doch deswegen brauchen Sie kein teures Satz-Programm – Word kann das auch.
Um eine mathematische Formel in ein Word-Dokument einzufügen, legen Sie ein neues Dokument an, oder öffnen die gewünschte bestehende Datei. Im Beispiel zeigen wir, wie Sie den Grenzwert einer Wurzel mit Word 2010 einfügen.
- Klicken Sie an die Stelle, wo die Formel eingefügt werden soll.
- Schalten Sie jetzt oben zum Tab „Einfügen“, und klicken Sie im Abschnitt „Symbole“ auf das Icon für Pi, über dem Wort „Formel“.
- Schalten Sie jetzt oben zum neuen Tab „Formeltools – Entwurf“.
- Als Erstes fügen Sie die nötigen Strukturen ein. Wir brauchen beispielsweise einen Grenzwert und dahinter zwei Wurzeln.
- Klicken Sie jetzt an die Stelle der Platzhalter und tragen die fehlenden Variablen nach. Besondere Symbole, wie griechische Buchstaben usw., erhalten Sie, indem Sie oben im Menüband-Abschnitt „Symbole“ auf den Pfeil nach unten mit Strich klicken (das Ausklappfenster erscheint). Dann oben von „Grundlegende Mathematik“ auf einen anderen Bereich umschalten.
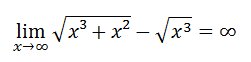
Das Ganze sieht zum Beispiel so aus:
Auch die Booker-Gordon-Formel für Radiowellen-Berechnungen lässt sich komplett mit Word schreiben:


